Professional Supplier of Nano-Targeted Drug Scientific Research Products

Polysaccharides

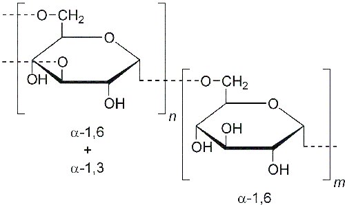
Dextran, DBCO Functional, MW 5,000

Catalog: TASK-17-1000079   CAS NO.: N/A
  • 5mg

$68.25$68.25

in stock
Buy Now
Delivery Fill in your shipping address to check the estimated shipping fee of your order

Select Shipping Address

$0.00 delivery Normal Delivery(7Days) Details Cyprum itidem insulam procul a continenti

$0.00 delivery Express Delivery Details Cyprum itidem insulam procul a continenti

  • High Quality Products
  • Fast and Safe Delivery

Description

Dextran, DBCO Functional (Dextran-Dibenzocyclooctyne) is a bioconjugate composed of dextran and DBCO (dibenzocyclooctyne) molecules. Dextran is a natural, water-soluble polysaccharide composed of glucose monomers linked together through glycosidic bonds. It is known for its biocompatibility and is widely used in biomedical applications because it is non-toxic and well-tolerated by the human body. DBCO is a small organic molecule with a strained cyclooctyne ring structure. DBCO is best known for its ability to react specifically and rapidly with azide groups through a copper-free click chemistry reaction.

Specifications

CAS No.N/A
FormulaN/A
Molecular Weight5,000
Purity98%
Ship Within1 week
Storage Temp.4℃
Shipping4-25℃ for up to 3 weeks
Welcome to Taskcm

This email already exists.

Username already exists.

Please confirm the password is the same.

or