Professional Supplier of Nano-Targeted Drug Scientific Research Products

  • sales@taskcm.com
  • 1-281-250-1281
home
  • Home
  • Products
  • About Us
  • Tech Support
  • Blog
    • Exhibition
    • Industry
  • Contact
pcenter cart
Our Products
  • APIs & Intermediates
  • Biotinylation Reagents
  • Phospholipids
  • Lipid PEGs
  • Functional PEGs
  • Polyester PEGs
  • Polyamino Acids
  • Polymers & Copolymers
  • Gold Nanoparticles
  • Iron Oxide Nanoparticles
  • Silica Particles
  • Quantum Dots
  • Upconverting Nanoparticles
  • Inorganic Nanomaterials
  • Fluorescent Dyes
  • Protein & Enzyme Conjugates
  • Polysaccharides
  • PEG Linkers with Small Molecular
  • Crosslinkers
  • Click Chemistry
  • ADC Linkers
  • MOF Materials
  • Liposomes
  • Hydrogels
  • Microspheres
  • AIE Materials
  • New Release
APIs & Intermediates
  • 3,5-Diaminopyridine CAS No.:4318-78-9
  • Proflavine CAS No.:92-62-6
  • 2,5-Diamino-1,3,4-thiadiazole CAS No.:2937-81-7
  • Dipyrido[3,2-a:2,3-c]phenazine CAS No.:19535-47-8
  • Terephthalimidamide dihydrochloride CAS No.:14401-56-0
  • N1,N3,N5-Tris(4-aminophenyl)benzene-1,3,5-tricarboxamide CAS No.:205653-12-9
  • 1,3,5-Tris(4-aminophenoxy)benzene CAS No.:102852-92-6
  • Tris(4-aminophenyl)methane CAS No.:548-61-8
  • Benzene-1,3,5-tricarbohydrazide CAS No.:36997-31-6
  • 4,4,4-(Benzene-1,3,5-triyltris(ethyne-2,1-diyl))trianiline CAS No.:326002-91-9
  • 2,4,6-Tris(4-aminophenoxy)-1,3,5-triazine CAS No.:22065-34-5
  • 4,4,4-(1,3,5-Triazine-2,4,6-triyl)trianiline CAS No.:14544-47-9
View More
Biotinylation Reagents
  • Biotin-SS-Hexyn
  • Biotin Carbonyl
  • Biotin Carboxyl
  • Desthiobiotin-C2-CONH-PEG2-Iodoacetamide | CAS 892146-13-3
  • Biotin-AC5-AC5-OSU | CAS 89889-52-1
  • WSPC Biotin DBCO
  • 2,5-Dioxopyrrolidin-1-yl 4-(5-((3aS,4S,6aR)-2-oxohexahydro-1H-thieno[3,4-d]iMidazol-4-yl)pentanaMido)butanoate | CAS 258289-54-2
  • RNA ChIRP Probe 3’Biotin
  • D-Biotin-PEG3
  • Phospho-WNK1 (Thr60)/Biotin
  • 3′ Biotin siRNA
  • miRCURY LNA Premium miRNA Mimic (5) – 3′ Biotin
View More
Phospholipids
  • 1,2-Dihexadecyl-sn-glycero-3-phosphoethanolamine | CAS 61423-61-8
  • 1,2-DIOLEOYL-3-PALMITOYL-RAC-GLYCEROL | CAS 65390-75-2
  • 1,2-O-Dioctadecyl-sn-glycerol | CAS 82188-61-2
  • (S)-DPPE (S) | CAS 71357-99-8
  • 10:0 PE | CAS 253685-27-7
  • 1-Palmitoyl-2-propargylacetyl-sn-glycero-3-phosphocholine | CAS 1353897-91-2
  • 18:0-18:2 PC | CAS 27098-24-4
  • 1,2-Dipalmitoyl-sn-glycero-3-phospho-rac-(1-glycerol) sodium salt | CAS 67232-81-9
  • 1,2-Dipalmitoyl-sn-glycerol | CAS 30334-71-5
  • 2-Acetyl-1-O-hexadecyl-3-phosphatidylcholine (PAF) | CAS 77286-68-1
  • DOP-DEDA | CAS 2247753-10-0
  • 18:0 PEG2000 PE (MPEG2000-DSPE Sodium Salt) | CAS 247925-28-6
View More
Lipid PEGs
  • DLPE-PEG-COOH, MW 5,000
  • DLPE-PEG-COOH, MW 3,400
  • DLPE-PEG-COOH, MW 2,000
  • DLPE-PEG-Amine, DLPE-PEG-NH2, MW 5,000
  • DLPE-PEG-Amine, DLPE-PEG-NH2, MW 3,400
  • DLPE-PEG-Amine, DLPE-PEG-NH2, MW 2,000
  • DLPE-PEG-NHS, MW 5,000
  • DLPE-PEG-NHS, MW 3,400
  • DLPE-PEG-NHS, MW 2,000
  • DLPE-PEG-Mal, DLPE-PEG-Maleimide, MW 5,000
  • DLPE-PEG-Mal, DLPE-PEG-Maleimide, MW 3,400
  • DLPE-PEG-Mal, DLPE-PEG-Maleimide, MW 2,000
View More
Functional PEGs
  • mPEG-Cy7, mPEG-Cyanine7, MW 1,000
  • Cy5-PEG-OH, Cyanur5-PEG-OH, MW 8,000
  • Cy5-PEG-OH, Cyanur5-PEG-OH, MW 5,000
  • Cy5.5-PEG-OH, Cyanur5.5-PEG-OH, MW 10,000
  • Cy5.5-PEG-OH, Cyanur5.5-PEG-OH, MW 5,000
  • Cy5.5-PEG-OH, Cyanur5.5-PEG-OH, MW 3,400
  • Cy5.5-PEG-OH, Cyanur5.5-PEG-OH, MW 2,000
  • Cy5.5-PEG-OH, Cyanur5.5-PEG-OH, MW 400
  • mPEG-Cy5, mPEG-Cyanur5, MW 1,000
  • Cy5.5-PEG-SC, MW 5,000
  • Cy5.5-PEG-SC, MW 3,400
  • Cy5.5-PEG-SC, MW 2,000
View More
Polyester PEGs
  • PLLA-PEG-COOH, PEG MW 5,000
  • PLLA-PEG-COOH, PEG MW 3,000
  • PLLA-PEG-COOH, PEG MW 2,000
  • PLLA-PEG-COOH, PEG MW 1,000
  • PLLA-PEG-COOH, PEG MW 5,000 & PLA MW 1,000-10,000
  • PLLA-PEG-COOH, PEG MW 3,000 & PLA MW 1,000-10,000
  • PLLA-PEG-COOH, PEG MW 2,000 & PLA MW 1,000-10,000
  • PLLA-PEG-COOH, PEG MW 1,000 & PLA MW 1,000-10,000
  • PLLA-PEG-BIO, PEG MW 5,000
  • PLLA-PEG-BIO, PEG MW 2,000
  • PLLA-PEG-BIO, PEG MW 1,000
  • PLLA-PEG-BIO, PEG MW 5,000 & PLA MW 10,000
View More
Polyamino Acids
  • Poly(L-Glutamic Acid Sodium Salt) (pGlu Sodium Salt800), MW 120,000 | CAS 26247-79-0
  • Poly(L-Glutamic Acid Sodium Salt) (pGlu Sodium Salt400), MW 60,000 | CAS 26247-79-0
  • Poly(L-Glutamic Acid Sodium Salt) (pGlu Sodium Salt300), MW 45,000 | CAS 26247-79-0
  • Poly(L-Glutamic Acid Sodium Salt) (pGlu Sodium Salt200), MW 30,000 | CAS 26247-79-0
  • Poly(L-Glutamic Acid Sodium Salt) (pGlu Sodium Salt100), MW 15,000 | CAS 26247-79-0
  • Poly(L-Glutamic Acid Sodium Salt) (pGlu Sodium Salt50), MW 7,500 | CAS 26247-79-0
  • Poly(L-Glutamic Acid Sodium Salt) (pGlu Sodium Salt20), MW 3,000 | CAS 26247-79-0
  • Poly(L-Glutamic Acid Sodium Salt) Alkyne (pGlu Sodium Salt300-AK), MW 46,000
  • Poly(L-Glutamic Acid Sodium Salt) Alkyne (pGlu Sodium Salt200-AK), MW 31,000
  • Poly(L-Glutamic Acid Sodium Salt) Alkyne (pGlu Sodium Salt100-AK), MW 15,000
  • Poly(L-Glutamic Acid Sodium Salt) Alkyne (pGlu Sodium Salt50-AK), MW 7,900
  • Poly(L-Glutamic Acid Sodium Salt) Alkyne (pGlu Sodium Salt20-AK), MW 3,300
View More
Polymers & Copolymers
  • Poly(amido)amine (PAMAM) Dendrimer-Cisplatin Complexes
  • PAMAM G1.0 Dendrimer Octa-substituted with α-Cyclodextrin (octa-αCD-PAMAM)
  • Biotinylated Poly(amido)amine Dendrimers (PAMAM-Biotin)
  • FITC-PAMAM-RDV (Polyamidoamine-Remdesivir conjugated Fluorescein Isothiocyanate)
  • Polyamidoamine-Remdesivir Conjugate (PAMAM-RDV)
  • Polyamidoamine Epichlorohydrin (PAAE)
  • Polyacrylic Acid-conjugated Polyamidoamine G4.0 Dendrimer (PAA-conjugated PAMAM G4.0)
  • PEGylated Polyamidoamine (PAMAM) Dendrimer Conjugates with Bis-aryl Hydrazone (BAH) Linkages
  • PAMAM dendrimer/7-methacryloyloxy-4-methylcoumarin/calcozine red 6G (G4M16R16)
  • PAMAM dendrimer/calcozine red 6G (G4R32)
  • PAMAM dendrimer/7-methacryloyloxy-4-methylcoumarin (G4M32)
  • PAMAM G3-mPEG (Polyamidoamine dendrimer G3 modified with methoxypolyethylene glycol)
View More
Gold Nanoparticles
  • Gold Nanoshells, biotin labeled, 1um
  • Gold Nanoshells, biotin labeled, 500nm
  • Gold Nanoshells, biotin labeled, 100nm
  • Gold Nanoshells, amine functional, 1um
  • Gold Nanoshells, amine functional, 500nm
  • Gold Nanoshells, amine functional, 100nm
  • Gold Nanoshells on Silica beads, 50um
  • Gold Nanoshells on Silica beads, 10um
  • Gold Nanoshells on Silica beads, 1um
  • Gold Nanoshells on Silica beads, 500nm
  • Gold Nanoshells on Silica beads, 100nm
  • Gold Nanorods, Streptavidin labeled, SPR Peak 780nm
View More
Iron Oxide Nanoparticles
  • Dextran Coated Fe3O4 Nanoparticles, 50nm
  • Dextran Coated Fe3O4 Nanoparticles, 40nm
  • Dextran Coated Fe3O4 Nanoparticles, 30nm
  • Dextran Coated Fe3O4 Nanoparticles, 20nm
  • Dextran Coated Fe3O4 Nanoparticles, 10nm
  • Magnetic Fe3O4@Mesoporous Silica, 100nm
  • Magnetic Fe3O4@Mesoporous Silica, 80nm
  • FITC Functionalized Fe3O4 Nanoparticles in Water, 10±5nm
  • Oleic Acid-Coated Fe3O4 Nanoparticles (Powder), 50nm
  • Oleic Acid-Coated Fe3O4 Nanoparticles (Powder), 40nm
  • Oleic Acid-Coated Fe3O4 Nanoparticles (Powder), 30nm
  • Oleic Acid-Coated Fe3O4 Nanoparticles (Powder), 20nm
View More
Silica Particles
  • Carboxyl PEG Functionalized Spherical Silica Nanoparticles, 300nm
  • Carboxyl PEG Functionalized Spherical Silica Nanoparticles, 200nm
  • Carboxyl PEG Functionalized Spherical Silica Nanoparticles, 100nm
  • Carboxyl PEG Functionalized Spherical Silica Nanoparticles, 50nm
  • NH2-Functionalized Spherical Silica Nanoparticles, 300nm
  • NH2-Functionalized Spherical Silica Nanoparticles, 200nm
  • NH2-Functionalized Spherical Silica Nanoparticles, 100nm
  • NH2-Functionalized Spherical Silica Nanoparticles, 50nm
  • COOH-Functionalized Spherical Silica Nanoparticles, 300nm
  • COOH-Functionalized Spherical Silica Nanoparticles, 200nm
  • COOH-Functionalized Spherical Silica Nanoparticles, 100nm
  • COOH-Functionalized Spherical Silica Nanoparticles, 50nm
View More
Quantum Dots
  • Water Soluble CdSe/ZnS Quantum Dots with Ligands
  • Amino-Functionalized Graphene Quantum Dots (5mg/ml)
  • Green-Fluorescent Sulfonic-Functionalized Graphene Quantum Dots
  • Blue Luminescent Amino-Functionalized Graphene Quantum Dots
  • Green Graphene Quantum Dots
  • Zno Quantum Dots in Ethanol Solution (2mg/ml)
  • AgInSe2 Quantum Dots
  • Oil Soluble Ag2Se Quantum Dots, 1500±50nm
  • Red-Fluorescent Graphene Quantum Dots (2mg/ml)
  • Black Phosphorus Quantum Dots
  • Hydroxyl Enriched Graphene Quantum Dots
  • Water-Soluble Zno Quantum Dots
View More
Upconverting Nanoparticles
  • UCNPs-Ce6-R837
  • SPTP@UCNP-RB-DOX
  • Antigen-Loaded Upconversion Nanoparticles
  • UCNP-PEG-PEI
  • Rare-Earth Doped Upconversion Nanoparticles
  • UCNPs/Fe3O4@h-C Nanocomposites
  • UCNP/PL Hybrid Cluster
  • Near-Infrared (NIR) Light-Excitable Upconversion Nanoparticles
  • Oil Dispersible Core-Shell Upconverting Nanoparticles, Emission Wavelength 804nm
  • Oil Dispersible Core-Shell Upconverting Nanoparticles, Emission Wavelength 545/660nm
  • Oil Dispersible Core-Shell Upconverting Nanoparticles, Emission Wavelength 365/475nm
  • Oil Dispersible Upconverting Nanoparticles, Emission Wavelength 804nm
View More
Inorganic Nanomaterials
  • Aluminum (Al) Micron Powder, Size: 1-2µm | CAS 7429-90-5
  • Activated Carbon Micron Powder, Size: 200Mesh | CAS 7440-44-0
  • Activated Carbon Micron Powder, Size: 8-30Mesh | CAS 7440-44-0
  • Activated Carbon Micron Powder, Size: 4000µm | CAS 7440-44-0
  • Activated Carbon Micron Powder, Size: 2000µm | CAS 7440-44-0
  • Activated Carbon Micron Powder, Size: 1500µm | CAS 7440-44-0
  • Indium (In) Micron Powder, Spherical, Size: 1-5µm
  • Zirconium Oxide (ZrO2) Nanopowder/Nanoparticles, Size: 30nm
  • Zirconium Oxide (ZrO2) Nanopowder/Nanoparticles Water Dispersion, Size: 40-50nm, 22wt%
  • Zirconia-Yttria Nanopowder/Nanoparticles (ZrO2-8Y), Size: 30nm
  • Zinc Oxide (ZnO) Nanopowder/Nanoparticles, KH550, Size: 18nm
  • Zinc Oxide (ZnO) Nanopowder/Nanoparticles, Size: 30-50nm
View More
Fluorescent Dyes
  • FITC-G3 PAMAM
  • Lipopolysacharides, Cy5.5 Labeled
  • Lipopolysacharides, Cy5 Labeled
  • Lipopolysacharides, Cy3 Labeled
  • HRP, Cy7.5 Labeled
  • HRP, Cy7 Labeled
  • HRP, Cy5.5 Labeled
  • HRP, Cy5 Labeled
  • HRP, Cy3 Labeled
  • Human IgG, Cy5.5 Labeled
  • Human IgG, Cy5 Labeled
  • Human IgG, Cy3 Labeled
View More
Protein & Enzyme Conjugates
  • Casein, Biotin labeled
  • Casein, Cy5.5 labeled
  • Casein, Cy5 labeled
  • Casein, Cy3 labeled
  • Casein, Rhodamine Labeled
  • Casein, FITC Labeled
  • DNP-HSA
  • Human serum albumin, HSA, maleimide function
  • Human serum albumin, HSA, FITC and Biotin labeled
  • Human serum albumin, Biotin labeled
  • Human serum albumin, Cy7 labeled
  • Human serum albumin, HSA, Cy5.5 labeled
View More
Polysaccharides
  • Biotin Inulin
  • Cy7.5 Inulin
  • Cy7 Inulin
  • Cy5.5 Inulin
  • Cy5 Inulin
  • Cy3.5 Inulin
  • Cy3 Inulin
  • Carboxylic Acid Functional Ficoll
  • Ficoll, Amine Functional, MW 400,000
  • Ficoll, Amine Functional, MW 70,000
  • Ficoll, Aldehyde Functional, MW 400,000
  • Ficoll, Aldehyde Functional, MW 70,000
View More
PEG Linkers with Small Molecular
  • EGS Crosslinker | CAS 70539-42-3
  • Di(N-succinimidyl)adipate | CAS 59156-70-6
  • Bis-PEG25-NHS ester | CAS 1008402-79-6
  • Bis-PEG21 NHS ester | CAS 1008402-79-6
  • Bis-PEG18-NHS ester
  • Bis-PEG17-NHS ester | CAS 1008402-79-6
  • Bis-PEG13-NHS ester | CAS 1008402-79-6
  • Bis-PEG12-NHS ester
  • Bis-PEG11-NHS ester | CAS 123502-57-8
  • Bis-PEG10-NHS ester | CAS 2221949-02-4
  • Bis-PEG9-NHS ester | CAS 1008402-79-6
  • Bis-PEG8-NHS ester
View More
Crosslinkers
  • BS2G Crosslinker
  • DTSSP Crosslinker
  • DSS Crosslinker
  • DSG Crosslinker
  • SMPH Crosslinker
  • ANB-NOS Crosslinker
  • SIA Crosslinker
  • BS3 Crosslinker (disodium)
  • DSP Crosslinker
  • EGS Crosslinker
View More
Click Chemistry
  • Methacryloyl Hyaluronic Acid (HAMA) DS100
  • Hyaluronate-MAL
  • Hyaluronate-Amine
  • Hyaluronate-NHS
  • cRGD-800CW-TCO
  • APN-PEG4-PFP
  • TCO-PEG4-APN
  • APN-HSA (3-Arylpropiolonitriles-Human serum albumin)
  • TCO-PEG4-MAL-HSA
  • DOTA-PSMA-Tz
  • Pd@Au-PEG-TCO-Cy5.5
  • Pd@Au-PEG-TCO
View More
ADC Linkers
  • DOTA-PEG5-C6-DBCO
  • Methyltetrazine-PEG23-DBCO
  • Methyltetrazine-PEG11-DBCO | CAS 2183440-28-8
  • Methyltetrazine-PEG7-DBCO
  • Methyltetrazine-PEG5-DBCO
  • Methyltetrazine-PEG4-DBCO | CAS 2698339-24-9
  • Methyltetrazine-PEG1-DBCO | CAS 2698340-95-1
  • TCO-PEG24-DBCO
  • TCO-PEG12-DBCO | CAS 2055022-06-3
  • TCO-PEG8-DBCO
  • TCO-PEG6-DBCO
  • TCO-PEG4-DBCO | CAS 1801863-88-6
View More
MOF Materials
  • Py-COF | CAS 2185790-08-1
  • Py-1P-COF | CAS 2043949-92-2
  • NH2-MIL-68@TPA-COF
  • COF-8-OH
  • COF-4-OH
  • COF-0-OH
  • COF-V | CAS 2065232-77-9
  • TP-BDDA-COF
  • TP-EDDA-COF
  • Dq1Da1Tp COF
  • AQ-COF/PEDOT
  • COF-JLU4
View More
Liposomes
  • Liposomes Containing Anti-Wrinkle Pepetide, Lyophilized Powder
  • Liposomal Vitamin ACE, Lyophilized Powder
  • Liposomal Aloe Vera, Lyophilized Powder
  • Liposomal Resveratrol, Lyophilized Powder
  • Liposomal COQ10, Lyophilized Powder
  • Liposomal CBD, Lyophilized Powder
  • Liposomal Vitamin E, Lyophilized Powder
  • Liposomal Vitamin C, Lyophilized Powder
  • Liposomal Vitamin A, Lyophilized Powder
  • PEGylated DOTA Liposomes, Lyophilized Powder
  • Non-PEGylated DOTA Liposomes, Lyophilized Powder
  • PEGylated Magnetic Liposomes, Lyophilized Powder
View More
Hydrogels
  • Collagel Hydrogel-Rat
  • Collagel Hydrogel-Human
  • Collagel Hydrogel Soft-Rat
  • Collagel Hydrogel Soft-Human
  • Collagel Hydrogel Soft-Bovine
  • Collagel Hydrogel Soft+-Rat
  • Collagel Hydrogel Soft+-Human
  • Collagel Hydrogel Soft+-Bovine
  • Collagel Hydrogel Bovine
View More
Microspheres
  • HMPA Resin, 200-400 Mesh, Loading 0.6-1.2 mmol/g, 1% DVB
  • HMPA Resin, 100-200 Mesh, Loading 0.6-1.2 mmol/g, 1% DVB
  • (Fmoc)4-Lys2-Lys-Beta-Ala-Wang Polystyrene Resin, 100-200 Mesh, Loading 0.25-0.6 mmol/g, 1% DVB
  • Fmoc-Gly-NHN=Pyv Resin, 100-200 Mesh, Loading > 0.3 mmol/g, 1% DVB
  • Fmoc-NHN=Pyv Resin, 100-200 Mesh, Loading > 0.3 mmol/g, 1% DVB
  • Fmoc-L-Arg(Pbf)-NHN=Pyv Resin, 100-200 Mesh, Loading > 0.3 mmol/g, 1% DVB
  • Fmoc-L-Val-NHN=Pyv Resin, 100-200 Mesh, Loading > 0.3 mmol/g, 1% DVB
  • Fmoc-L-Tyr(tBu)-NHN=Pyv Resin, 100-200 Mesh, Loading > 0.3 mmol/g, 1% DVB
  • Fmoc-L-Trp(Boc)-NHN=Pyv Resin, 100-200 Mesh, Loading > 0.3 mmol/g, 1% DVB
  • Fmoc-L-Thr(tBu)-NHN=Pyv Resin, 100-200 Mesh, Loading > 0.3 mmol/g, 1% DVB
  • Fmoc-L-Ser(tBu)-NHN=Pyv Resin, 100-200 Mesh, Loading > 0.3 mmol/g, 1% DVB
  • Fmoc-L-Phe-NHN=Pyv Resin, 100-200 Mesh, Loading > 0.3 mmol/g, 1% DVB
View More
AIE Materials
  • 4,4′,4′′-Tris[phenyl(m-tolyl)amino]triphenylamine | CAS 124729-98-2
  • 4,4′,4′′-Tris[2-naphthyl(phenyl)amino]triphenylamine | CAS 185690-41-9
  • 1,3,5-Tris(N-carbazolyl)benzene
  • TPBi
  • TmPyPB
  • TFB
  • N,N,N′,N′-Tetrakis(4-methoxyphenyl)benzidine
  • 1,1,2,3,4,5-Hexaphenyl-1H-silole
  • 4,4′,4′′,4′′′-(Ethene-1,1,2,2-tetrayl)tetraphenol
  • DPEPO
  • DNTPD
  • Dipyrazino[2,3-f:2′,3′-h]quinoxaline-2,3,6,7,10,11-hexacarbonitrile
View More
New Release
  • Dimethyl 3-cyclopentene-1,1-dicarboxylate | CAS 84646-68-4
  • Cyclopentenyloxytrimethylsilane | CAS 19980-43-9
  • (1R,4S)-4-Hydroxycyclopent-2-en-1-yl acetate | CAS 60410-16-4
  • Methyl 3-cyclopentenecarboxylate | CAS 58101-60-3
  • 1-Amino-3-cyclopentene hydrochloride | CAS 91469-55-5
  • 1-Amino-2-cyano-1-cyclopentene | CAS 2941-23-3
  • cis-3,5-Dihydroxy-1-cyclopentene | CAS 29783-26-4
  • 1-Cyanocyclopentene | CAS 3047-38-9
  • 1-Methylcyclopentene | CAS 693-89-0
  • 1,2-Epoxycyclopentane | CAS 285-67-6
  • 3-Cyclopentene-1-carboxylic acid | CAS 7686-77-3
  • Octafluorocyclopentene | CAS 559-40-0
View More

Products

Shop DJ Wireless

Haec igitur Epicuri non probo, inquam. De cetero vellem equidem aut ipse doctrinis fuisset instructior est enim, quod tibi ita.

Home / Products / Page 391
  • (2-Hydroxy-3-N,N,N-trimethylamino)propyl-gamma-cyclodextrin chloride
    New Release

    (2-Hydroxy-3-N,N,N-trimethylamino)propyl-gamma-cyclodextrin chloride

    CAS No: N/A

    $660.00 $594.00

    Buy Now
  • (2-Hydroxy-3-N,N,N-trimethylamino)propyl-alpha-cyclodextrin chloride
    New Release

    (2-Hydroxy-3-N,N,N-trimethylamino)propyl-alpha-cyclodextrin chloride

    CAS No: N/A

    $530.00 $477.00

    Buy Now
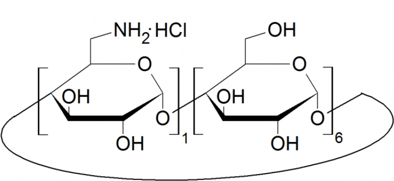
  • 6-Monodeoxy-6-monoamino-random-methyl-beta-cyclodextrin hydrochloride
    New Release

    6-Monodeoxy-6-monoamino-random-methyl-beta-cyclodextrin hydrochloride

    CAS No: N/A

    $1,386.00 – $6,156.00

    Buy Now
  • Heptakis(2,3-di-O-methyl)-hexakis(6-O-methyl)-6-monodeoxy-6-monoamino-beta-cyclodextrin hydrochloride
    New Release

    Heptakis(2,3-di-O-methyl)-hexakis(6-O-methyl)-6-monodeoxy-6-monoamino-beta-cyclodextrin hydrochloride

    CAS No: N/A

    $729.00 – $14,571.00

    Buy Now
  • (2-Hydroxy-3-N,N,N-trimethylamino)propyl-beta-cyclodextrin chloride
    New Release

    (2-Hydroxy-3-N,N,N-trimethylamino)propyl-beta-cyclodextrin chloride

    CAS No: N/A

    $540.00 $486.00

    Buy Now
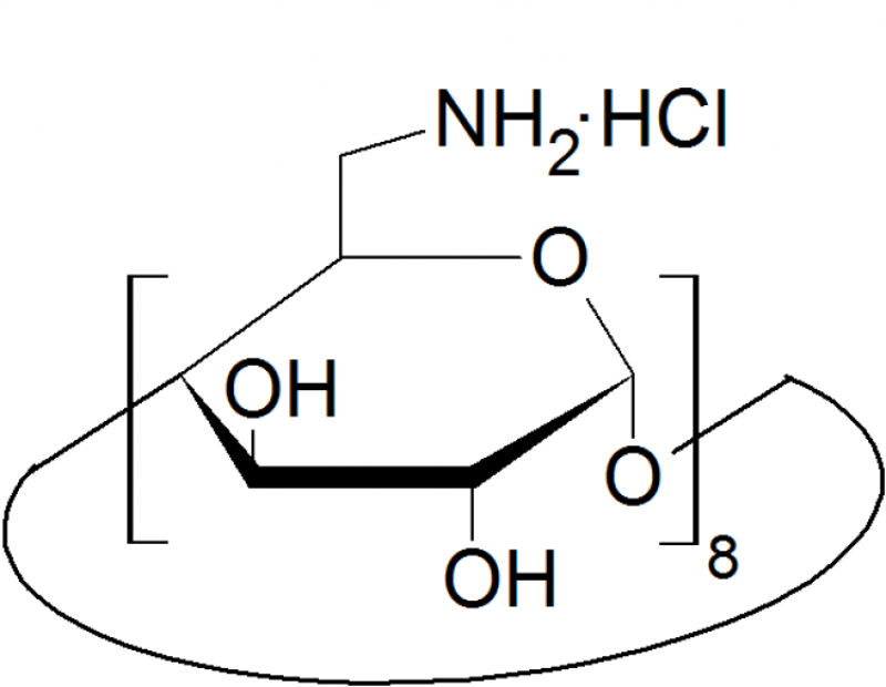
  • Octakis(6-deoxy-6-amino)-gamma-cyclodextrin octahydrochloride | CAS 156297-62-0
    New Release

    Octakis(6-deoxy-6-amino)-gamma-cyclodextrin octahydrochloride | CAS 156297-62-0

    CAS No: 156297-62-0

    $333.00 – $1,242.00

    Buy Now
  • Heptakis(6-deoxy-6-amino)-beta-cyclodextrin heptahydrochloride | CAS 65024-90-0
    New Release

    Heptakis(6-deoxy-6-amino)-beta-cyclodextrin heptahydrochloride | CAS 65024-90-0

    CAS No: 65024-90-0

    $333.00 – $2,241.00

    Buy Now
  • 6-Monodeoxy-6-monoamino-beta-cyclodextrin hydrochloride | CAS 126927-47-7
    New Release

    6-Monodeoxy-6-monoamino-beta-cyclodextrin hydrochloride | CAS 126927-47-7

    CAS No: 126927-47-7

    $486.00 – $2,754.00

    Buy Now
  • Sulfopropylated-gamma-cyclodextrin sodium salt
    New Release

    Sulfopropylated-gamma-cyclodextrin sodium salt

    CAS No: N/A

    Buy Now
  • Sulfopropylated alpha-cyclodextrin sodium salt
    New Release

    Sulfopropylated alpha-cyclodextrin sodium salt

    CAS No: N/A

    Buy Now
  • Sulfobutylated-gamma cyclodextrin sodium salt
    New Release

    Sulfobutylated-gamma cyclodextrin sodium salt

    CAS No: N/A

    Buy Now
  • Succinyl-(2-hydroxypropyl)-gamma cyclodextrin
    New Release

    Succinyl-(2-hydroxypropyl)-gamma cyclodextrin

    CAS No: N/A

    Buy Now
  • ←
  • 1
  • 2
  • 3
  • …
  • 388
  • 389
  • 390
  • 391
  • 392
  • 393
  • 394
  • …
  • 1,674
  • 1,675
  • 1,676
  • →
  • Fast Shipping

    TASKCM guarantees a timely shipping once the product is ready

    Learn More
  • Custom-made Service

    TASKCM provides product custom-made services to fulfill your requirements

    Learn More
  • Easy Returns

    TASKCM promises easy returns for the products with quality issues

    Learn More
  • Quick Response Service

    TASKCM ensures prompt and efficient customer service within 24 hours

    Learn More
Welcome to Taskcm

Register NowForget Password?

or
Sign in with Google

This email already exists.

Username already exists.

Please confirm the password is the same.

Login Now

Login Now

or


Sign in with Google

    Quick Links
    • Home
    • About Us
    • Tech Support
    • Blog
    • Contact
    Orders
    • My Account
    • Order Status
    • Track Orders
    • Update Shipping
    Company
    • About Us
    • Service
    • Certificates
    • News
    Customer Service
    • Contact
    • Tech Support
    • Privacy Policy
    • Wire Transfer Account
    Stay In Touch

    Leave your email to get the latest news about our products

    logo
    • Send Email sales@taskcm.com
    • Have any Questions? 1-281-250-1281

    © 2023 Taskcm.All rights reserved.

    • Privacy Policy
    • Contact